4stu.ru
Главная
(current)
О сайте
Карта сайта
Поиск
Заказать
Добавить
Поиск по сайту
×
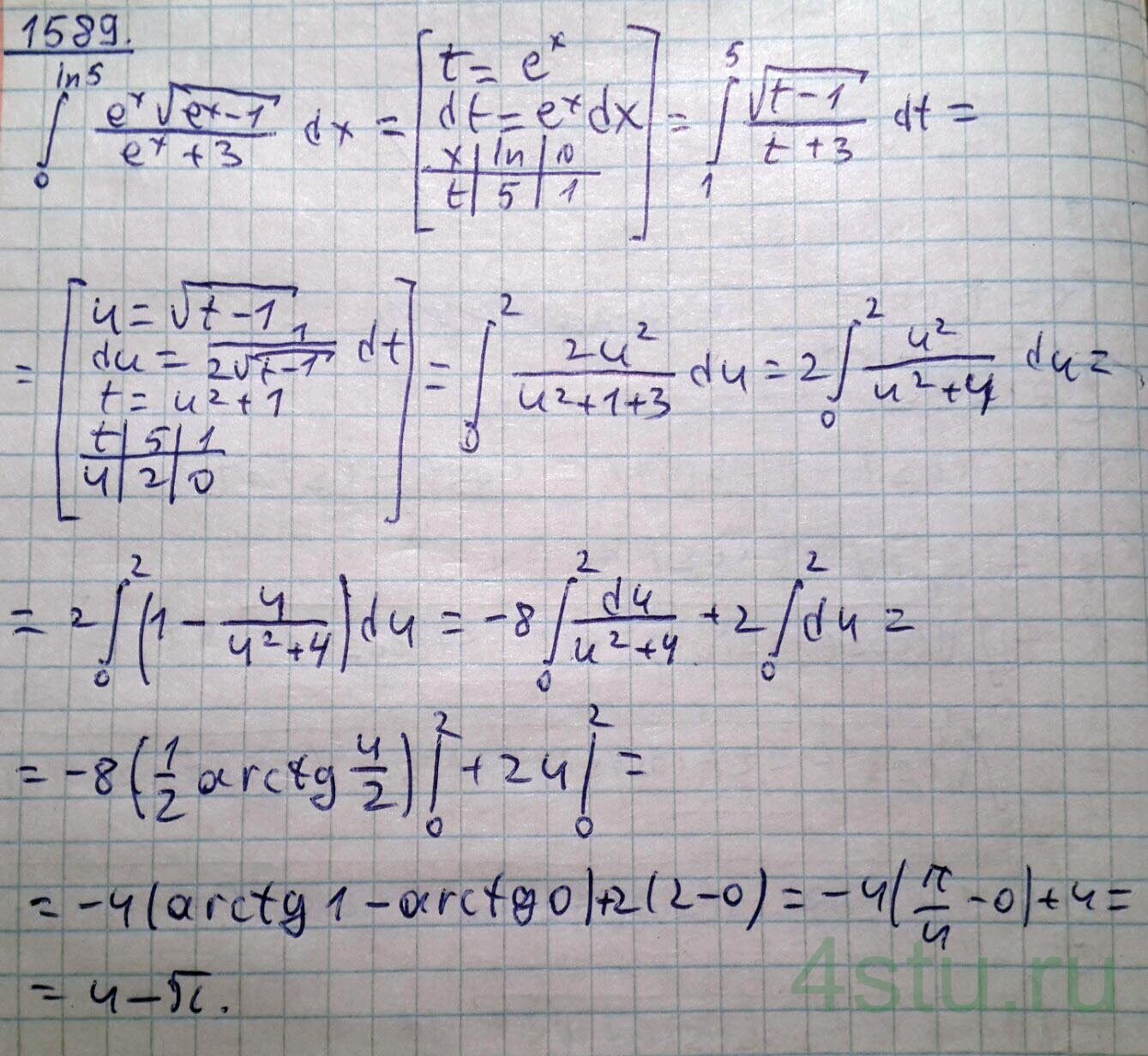
№ 1589
Задание:
С помощью подходящих подстановок вычислить интеграл (e
x
√(e
x
- 1)) / (e
x
+ 3) dx от 0 до ln 5
Решение:
Главная
Математический анализ
Задачи и упражнения по математическому анализу для ВТУЗов под редакцией Б.П. Демидовича
№ 1589