4stu.ru
Главная
(current)
О сайте
Карта сайта
Поиск
Заказать
Добавить
Поиск по сайту
×
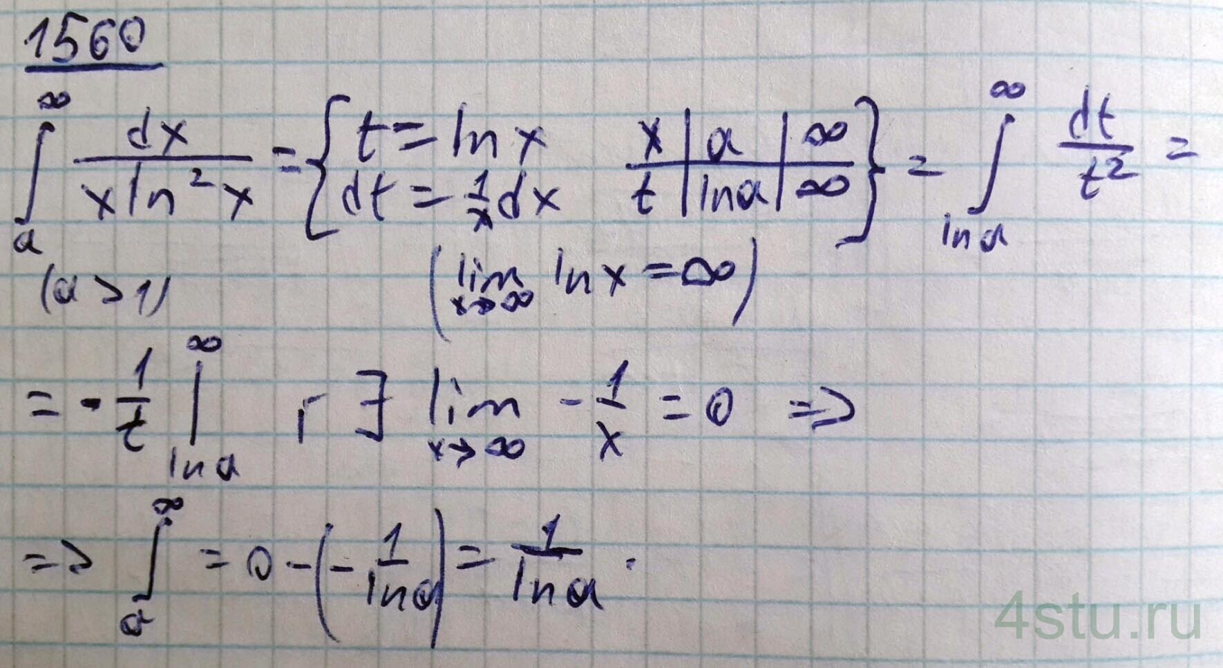
№ 1560
Задание:
Вычислить несобственный интеграл (или установить его расходимость): dx / (x ln
2
x) от a до ∞ (a > 1)
Решение:
Главная
Математический анализ
Задачи и упражнения по математическому анализу для ВТУЗов под редакцией Б.П. Демидовича
№ 1560