4stu.ru
Главная
(current)
О сайте
Карта сайта
Поиск
Заказать
Добавить
Поиск по сайту
×
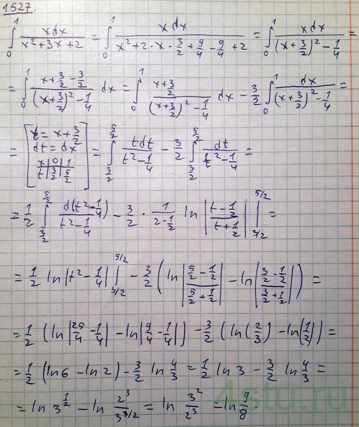
№ 1527
Задание:
Вычислить интеграл (x dx)/(x
2
+ 3x + 2) от 0 до 1
Решение:
Главная
Математический анализ
Задачи и упражнения по математическому анализу для ВТУЗов под редакцией Б.П. Демидовича
№ 1527