4stu.ru
Главная
(current)
О сайте
Карта сайта
Поиск
Заказать
Добавить
Поиск по сайту
×
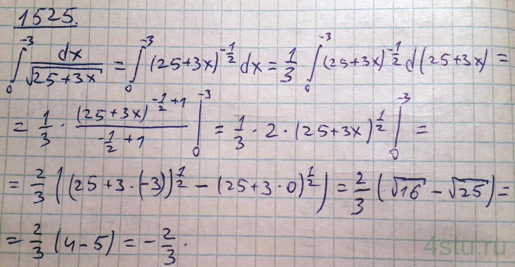
№ 1525
Задание:
Вычислить интеграл dx / √(25+3x) от 0 до -3
Решение:
Главная
Математический анализ
Задачи и упражнения по математическому анализу для ВТУЗов под редакцией Б.П. Демидовича
№ 1525